Wild Animals for Toddlers
1.0.4 January 21, 2026- 7
- 1
- 2
- 3
- 4
- 5
All Math Formulas avec algèbre, géométrie, trigonométrie et calcul en un seul endroit.
All Math Formulas sont une application Android complète conçue pour les amateurs de mathématiques et les étudiants. Cette application est votre ressource incontournable pour toutes les formules mathématiques essentielles en un seul endroit, toutes hors ligne facilement accessibles. Pas besoin d'une connexion Internet - accédez aux formules à tout moment, n'importe où!
Dans cette application, vous obtiendrez plus de 1000 formules mathématiques et équations. Avec la formule, vous obtiendrez un diagramme approprié, afin que vous compreniez facilement la formule. Vous pouvez lire facilement diverses équations à partir de cette application.
Caractéristiques clés de cette application d'équations mathématiques:
Accès hors ligne: profitez de la commodité d'accéder à plus de 1000 formules mathématiques sans avoir besoin d'une connexion Internet.
Couverture complète: De l'arithmétique de base au calcul avancé, à l'algèbre linéaire, et au-delà, cette application couvre tout.
Apprentissage visuel: Si nécessaire, les équations comprennent également un diagramme, assurant une aide visuelle pour faciliter une meilleure compréhension d'une formule.
Mises à jour régulières: Restez en avance avec les derniers concepts et formules mathématiques. Cette application est régulièrement mise à jour pour inclure de nouveaux contenus et améliorer le matériel existant.
Que vous vous prépariez à des examens, que vous vous attaquiez à un projet lié aux mathématiques ou que vous frottiez simplement vos compétences, All Math Formulas sont le compagnon idéal. Téléchargez l'application aujourd'hui et lancez-vous dans un voyage transparent à travers le monde des mathématiques!
Dans cette application, vous obtiendrez la formule de mathématiques et les équations comprennent:
Formules et équations de l'algèbre.
Formules et équations de géométrie.
Formules et équations de trigonométrie.
Dans la section de calcul de cette application, vous obtiendrez des formules de:
Limites
Dérivés
Intégrales
Dans les propriétés et faits de base de cette application, vous obtiendrez des formules de:
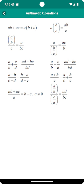
Opérations arithmétiques
Propriétés exposantes
Propriétés des radicaux
Propriétés des inégalités
Propriétés de la valeur absolue
Formule de distance
Nombres complexes
Logarithmes et propriétés du journal
Tenir compte et résoudre
Formules d'affacturation
Formule quadratique
Propriété de racine carrée
Équations / inégalités de valeur absolue
Terminer le carré
Fonctions et graphiques
Fonction constante
Fonction de ligne / linéaire
Parabole / fonction quadratique
Cercle
Ellipse
Hyperbole
Dans la section des formules de géométrie de cette application, vous obtiendrez des formules de:
Carré
Rectangle
Cercle
Triangles
Parallélogramme
Trapézoïde
Cube
Cylindre
Sphère
Cône
Tout en un
Symboles géométriques
Fonctions de trigonométrie
Angles spéciaux
Valeurs de fonction trigonométrique dans les quadrants II, III et IV
Le cercle unitaire
Formules d'addition d'angle
Formules à double angle
Formules d'angle
Formules de réduction de puissance
Formules de produit à sursal
Cofonctions formules
Loi des sinus
Droit des cosinus
Droit des tangentes
Identités pythagoriennes (pour tout angle θ)
Formule de Mollweide
Limite les définitions
Relation entre la limite et les limites unilatérales
Limite les formules des propriétés
Formules d'évaluations limites de base
Formules techniques d'évaluation
Quelques fonctions continues
Théorème de valeur intermédiaire
Définition et notation des dérivés
Interprétation du dérivé
Propriétés et formules de base
Dérivés communs
Variantes de règles de chaîne
Dérivés d'ordre supérieur
Différenciation implicite
Augmentation / diminution - concave / concave vers le bas
Extrema
Théorème de valeur moyenne
Méthode de Newton
Tarifs connexes
Optimisation
Définitions des intégrales
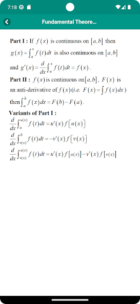
Théorème fondamental du calcul
Propriétés
Intégrales communes
Techniques d'intégration standard
Inapproprié intégral
Approximation des intégrales définies