Dictionary of IR
1.0 October 31, 2025- 7.7
- 1
- 2
- 3
- 4
- 5
Получите наиболее важные Algebra Formulas !
Это приложение показывает вам наиболее важные Algebra Formulas .
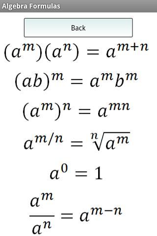
- Законы о экспоненте
- Решение квадратного уравнения
- Биномиальная теорема
- правила нуля
Очень полезный математический инструмент для школы и колледжа! Если вы студент, это поможет вам изучить алгебру!
 
                            
                             
                            
                             
                            
                             
                            
                             
                            
                             
                            
                             
                            
                             
                            
                             
                            
                             
                            
                             
                            
                             
                            
                             
                            
                             
                            
                             
                            
                             
                            
                                 
                            
                                 
                            
                                 
                            
                                 
                            
                                 
                            
                                 
                            
                                 
                            
                                 
                            
                                 
                            
                                 
                            
                                 
                            
                                 
                            
                             
                            
                             
                            
                             
                            
                             
                            
                             
                            
                             
                            
                            